
YEASEN은 생명과학 연구 및 진단을 위한 고품질의 연구용 시약과 기기를 제공하는 글로벌 바이오 기업입니다.

제품 설명
Hieff NGS™ EvoMax RNA Library Prep Kit (Strand-specific)
제품 번호
12340ES
제품 설명
Hieff NGSTM EvoMax RNA Library Prep Kit (Strand-specific) is a premixed, actinomycin D–free, strand-specific total RNA sequencing library preparation kit compatible with both Illumina and MGI platforms. Available in two formats—tube and sealing kit—this kit offers convenience for both automated liquid handling systems and manual operation.
The kit includes reagents for RNA fragmentation, reverse transcription, strand-specific double-stranded cDNA synthesis, and library amplification. It can be combined with mRNA purification or rRNA removal kits for mRNA or lncRNA studies.
By optimizing the reverse transcription step, this kit achieves high strand specificity without the use of actinomycin D, enhancing user safety. All reagents undergo stringent quality control and functional validation to ensure maximum stability and reproducibility in library preparation.
Features
Components No. | Name | 12340ES24 | 12340ES96 | 12340ES97 (automation ) | 12340ES98 (Plate )** |
12340-A | 450 μL | 2×900 μL | 2×1064 μL | 8×266 μL | |
12340-B | 1st Reaction Module 2.0 | 192 μL | 768 μL | 960 μL | 8×120 μL |
12340-C | 2nd Reaction Module(dUTP) | 840 μL | 3×1120 μL | 3×1280 μL | 8×480 μL |
12340-D | Ligation Reaction Module | 840 μL | 3×1120 μL | 3×1280 μL | 8×480 μL |
12340-E | 2×Super CanaceTM II High-Fidelity Mix | 600 μL | 2×1200 μL | 2×1360 μL | 8×340 μL |
* | Primer Mix* | / | / | / | / |
[Note]: * The notation indicates that the component is not included in the kit. Primer mix is required if the complete adapters are used, otherwise it isn’t. This kit is compatible with Illumina and MGI platforms, but need additional primer mix (Cat # 13334 Primer Mix for MGI and Cat # 13335 Primer Mix for Illumina) for Illumina or MGI platform if the complete adapters are used.
** See the following diagram for the layout of plate reagent group.

This product should be stored at -25~-15℃ for one year..
RNA library Preparation; Transcriptome profiling and gene expression analysis; mRNA sequencing for coding RNA studies; lncRNA (long non-coding RNA) research; Small RNA sequencing (if applicable); Differential gene expression analysis; RNA biomarker discovery; RNA variant and fusion detection.
1.Simplified Product Format


Figure 1. Simplied components of EvoMax RNA Library Prep Kit.
2. High Exon Coverage Uniformity
Figure 2. Yeasen Kit show high exon coverage uniformity compared to NEB kit. The high GC exon were effectively detected.
3.Flexible RNA Library preparation: High and Low Input Compatible

Figure 3. Library yields of animal and plant samples with different RNA qualities and input amounts.
Library preparation with kits(Cat# 12629) and 12341; DNA fragmentation at 94°C for 7 min; PE Adapter (Cat#12327ES), 1 μM, 5 μl; 0.4× purification after ligation, 0.7×/0.1× size selection, and 0.8× purification post-amplification. Input amounts: 100 ng (16 cycles), 200 ng (15 cycles), 400 ng (14 cycles).
4. Automation-friendly

Figure 4. Highly uniform mRNA and lncRNA libraries prepared with 96-channel automation.
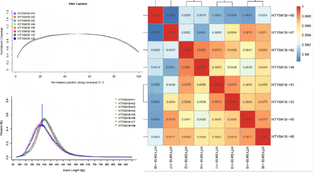
5. Excellent Sequencing Data Performance

Figure 5. Performance of transcriptome sequencing using EvoMax RNA Library Prep Kit
The transcriptome sequencing data shows good performance in gene body coverage, insert DNA length distribution, and sample correlation
6.Strong Stability

Figure 6. Real-time stability: After 18 months of storage, performance remains comparable to the reference kit.
7.RNA Library prep for different quality FFPE samples
For severely degraded FFPE RNA (DV 200 <50%) and low input samples, we recommend a Double-purification protocol after adapter ligation to reduce library loss.
Peak patterns of different quality FFPE samples
FFPE RNA samples |
|
| Sample 1 RIN=2.2; DV200=74% |
| Sample 2 RIN=2.5; DV200=26% |
| Sample 3 RIN=2.5; DV200=11% |
Sample 1. RNA Library Prep Results | |
| Input RNA: 500 ng, Fragmentation: 94℃, 7 min, Double purification : 0.6×; 0.8× Library amplification: 12 cycles, Library yield: 717.2ng |
| Input RNA: 500 ng Fragmentation: 94℃, 7 min Purification & Selection: 0.6× & 0.7× / 0.15× Library amplification: 13 cycles Library yield: 437.8 ng |
| Input RNA: 100 ng Fragmentation: 94℃, 7 min Double purification: 0.6×; 0.8× Library amplification: 15 cycles Library yield: 206.8 ng |
Sample 2. RNA Library Prep Results | |
| Input RNA: 500 ng Fragmentation: 85℃, 8 min Double purification: 0.6×; 0.8× Library amplification: 12 cycles Library yield: 207 ng |
| Input RNA: 500 ng Fragmentation: 85℃, 8 min Purification & Selection: 0.6× & 0.7× / 0.15× Library amplification: 13 cycles Library yield: 98.56 ng |
Sample 3. RNA Library Prep Results | |
| Input RNA: 500 ng Fragmentation: 65℃, 8 min Double purification: 0.6×; 0.8× Library amplification: 12 cycles Library yield: 354.2 ng |
| Input amount: 500 ng Fragmentation: 65℃, 8 min Purification & Selection: 0.6× & 0.7× / 0.15× Library amplification: 13 cycles Library yield: 172.48 ng |
YEASEN의 모든 제품을 만나 보세요!
YEASEN - Official Distributor in South Korea "Morebio" 한국 공식 대리점 "모아바이오"